70
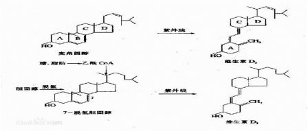
维生素D是人体必需的脂溶性维生素,可以防治佝偻病和骨质软化,能调节钙、磷代谢,促进肠内钙、磷吸收和骨质钙化,维持血钙和血磷的平衡等。人体内十多种维生素D主要以维生素D2、D3两种形式存在。
维生素D2又名麦角钙化醇,主要来源于植物性食物(如经紫外线照射的蘑菇、花生、大豆、植物油等);维生素D3则主要主要来源于动物性食物(如深海鱼肝油、蛋黄、猪肝、鸡肝等)、强化食品,以及皮肤经阳光紫外线照射后自身合成。
维生素D2和D3有什么区别?
1、化学结构
维生素D2化学结构中侧链含有一个双键和一个甲基。维生素D3侧链无双键,结构相比D2更简单,结构的差异使得它们在体内的代谢过程和生物活性表现都不同。

2、生物活性
两种维生素D具有同样的生理作用,其中维生素D2活性温和,更适合于孕妇、胎儿和婴幼儿补充维D;而维生素D3在人体内的生物活性相对更高,其促进钙的吸收远远大于维生素D2,常常用于维生素D缺乏症的预防与治疗。
3、代谢途径
维生素D2和D3在体内代谢途径基本相似。维生素D2代谢产物在体内的半衰期较短,清除速度相对较快。而维生素D3代谢产物在体内停留时间更长,能更持久地发挥作用,这使得在补充维生素D时,使用维生素D3制剂维持有效血药浓度的效果更好。

那些人群需要关注维生素D?
1、孕妇,怀孕期间腿抽筋或腹中胎儿发育缓慢;
2、婴幼儿,成长期骨骼发育不良;
3、老年人,关节疼痛或骨质疏松;
4、成年人,腿脚抽筋,代谢紊乱;
5、长期室内工作缺乏日照者;
6、胃肠道吸收功能不良者;
7、肥胖人群(维生素D易被脂肪组织摄取,导致血液度降低)。
如何选择维生素D2和D3?
普通人群:通常建议优先选择维生素D3,因为其生物利用度和提升维生素D水平的效果更优。
严格素食者:由于维生素D3通常来源于动物,严格素食者可以选择维生素D2补充剂或专门标注为“纯素”来源的维生素D3(通常从地衣或藻类中提取)。
医嘱要求:在某些特定疾病治疗中,医生可能会根据情况开具特定形式的维生素D制剂。
如何补充维生素D2和D3?
安全晒太阳:在上午10点到下午3点之间,不涂抹防晒霜的情况下,每天让面部、手臂、腿部等部位接受15-30分钟的日光照射,注意避免晒伤。
多吃富含维生素D的食物,如多脂鱼(三文鱼、金枪鱼、马鲛鱼)、鱼肝油、蛋黄、肝脏、强化食品(牛奶、酸奶、植物奶、谷物早餐等)。
合理使用补充剂,建议在医生指导下,根据个人情况选择合适的维生素D2或D3产品及剂量,避免过量摄入引发不良反应。
虽然维生素D至关重要,但过量补充反而有害,可能导致高钙血症、血管钙化、肾结石等健康问题。因此,我们需要检测体内维生素D的含量,如果缺乏,就给以补充,如果不缺或者已充足,则不能盲目补充。
作者:李永超
编辑:杜乔乔
初审:张瀚文 审核:邓金林、党好
上一篇:急性胃肠炎健康科普:吃出来的“急症”,这样防、这样治、这样养
下一篇:维生素D2和D3是什么?